What is Hypromellose (HPMC)?
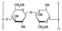
Hypromellose (HPMC) is a cellulose derivative. Cellulose itself is insoluble in water, but can be solubilised by disrupting the crystalline structure. This can be achieved using specific solvents or by chemical modification of the cellulose. Many chemically modified celluloses have been developed, in which hydroxyl groups on the C-2, C-3, and C-6 position are partially or fully substituted to afford derivatives with useful properties like cellulose esters and cellulose ethers. In case of hypromellose or hydroxypropyl methylcellulose (HPMC) hydroxyl groups are substituted by methoxylic (MeO) and hydroxypropilic (HPO) moieties.

Figure 1 Structural formula of hypromellose (HPMC). The substituent R represents either a -H, -CH3 or a -CH2CH(CH3)OH
Applications of Hypromellose
In addition to hypromellose being used for multiple applications in areas such as construction and ophthalmology, HPMC is used as a direct human nutrition ingredient and added to foods as a color stabilizer, dough strengthener, emulsifier, firming agent, formulation aid, binder, lubricant and release agent, nutrient supplement, stabilizer and thickener, surface-active agent, synergist, and texturizer. Because of its very broad applicability HPMC has been recognized by the pharmaceutical industry and is being used in various topical and oral pharmaceutical preparations; for capsules, for granulation-aid, as coating agent, as tablet binder and as release-modifying agent.
Read more below about the production, composition and purity of HPMC, hypromellose variability and HPMC characterization.
Hypromellose production
For the production of hypromellose purified cellulose pulp is first treated with concentrated sodium hydroxide solution to open up the lattice structure. Next, methyl chloride and propylene oxide is added to react with the swollen alkali cellulose to form a cellulose backbone with methyl- and hydroxypropyl ethers substituted onto the glucose units.
The derivatisation is carried out by oxalkylation and etherification reactions (reaction 1 and 2). Derivatisation of the hydroxypropoxylic groups, reaction 2, may repeat itself as new hydroxyl groups are generated during the reaction. The derivatization process can be controlled by a programmed temperature increase, the amount and ratio of methyl chloride and propylene oxide added and the moment at which these chemicals are added.
Cell-OH + NaOH + CH3Cl → Cell-OCH3 + H2O + NaCl (1)
Cell-OH + CH3-HCCH2O → Cell-O-CH2-CHOH-CH3 (2)
After the reaction the slurried material is transferred to a series of filters to wash the sodium chloride and residual organics from the HPMC material. The hypromellose wet cake is then discharged into a dryer and the dry material ground to achieve the desired particle size. Some of the hypromellose products produced are intentionally subjected to acid in order to lower the final average degree of polymerization of the product. The reaction is monitored to obtain the desired viscosity, an indication for the degree of polymerization. To improve homogeneity batches are mixed in blenders prior to packaging.
Hypromellose variability
The use of complex natural products, mainly wood pulp, can give huge variation in chemical composition and chain length of HPMC. In addition, the chemical modification of cellulose to obtain hypromellose is generally conducted under heterogeneous conditions, i.e. both the cellulose starting material and the corresponding final cellulose ether are present as solids. Thorough mixing and stirring are of vital importance to ensure uniform swelling and alkali distribution; even though the crystalline structure is extensively lost by the treatment with alkali, there may be regions that become more highly substituted than others; when swelling of the cellulose is not uniform due to not evenly distributed alkali, a heterogeneous substitution pattern can arise along the polymer chain but also between different chains or clusters of chains. Uneven distribution of the substituents causes severe loss in solubility due to the unetherified regions in the final product.

Figure 2 Schematic illustration of different substituent distributions in Hypromellose (Richardson S., et al.)
Furthermore, as the three hydroxyl groups on a glucose unit have different acidity and have different accessibility for reaction in the swollen cellulose, they do not have the same probability of being substituted. On monomer level a total of 27 different monomers can occur as during the derivatisation each of the three available hydroxyl groups per glucose monomer unit can be substituted by a methyl- or a hydroxypropyl ether or remain unsubstituted. With the possibility that hydroxypropyl ethers can form new ethers the number of possible monomer configurations is in theory unlimited.
The degree of substitution (DS) and the molar distribution (MS) are two values that describe the extent of substitution of cellulose derivatives. The DS is defined as the average number of substituted hydroxyl groups per glucose unit and can therefore have a value between 0 and 3, the MS is the average molar substitution per glucose unit and, as in case of hypromellose the hydroxypropyl ethers can form new ethers, has in theory no upper limit.
The molecular mass together with variations in the degree of substitution and the substituent distribution along the cellulose backbone has a large impact on the hydrophilic/hydrophobic character of the hypromellose and its functionality in pharmaceutical applications. It is therefore important to control and characterize the critical properties of hypromellose.
Hypromellose variability case study: impact on dissolution
The impact of the variability in the hypromellose substituent distribution, or HPMC substitution pattern, was experienced during the development of an HPMC controlled matrix tablet formulation. When two identical HPMC lots A and B were purchased, from the same manufacturer, of the HPMC grade and with very similar values on their certificate of analysis (CoA), unexplainable differences in drug release perfomance was observed. The drug release of the formulation made with HPMC Lot A was much faster than that of the same formulation prepared with HPMC Lot B.
Additional testing performed with dissolution apparatus III (Biodis) by experts of the Avivia dissolution team, revealed that, in this specific case, the HPMC release appeared to be faster than that of the drug itself; the release mechanism was primarily erosion controlled. The diffusion controlled release mechanism was almost absent, making the pharmaceutical formulation extremely sensitive to the certain HPMC properties. After extensive research by Excipia team members, a relationship was found between the HPMC substitution pattern and dissolution performance of the hypromellose matrix tablets. An acceptable solution was found: with in-house testing and additional specifications suitable HPMC batches could be defined and selected.

Hypromellose Physicochemical properties, purity and toxicity
Hypromellose is a hygroscopic white or off-white powder, granules or fine fibres and is considered physiologically harmless, tasteless, and odorless. It is known to reversibly pick up moisture from the air if stored in humid conditions and has typically the following composition: Hydroxypropyl methylcellulose 85-99%, Water 1-10% and Sodium Chloride 0.5-5%. In addition, HPMC may contain low levels of other substances related to the production process or the cellulose source.
During manufacturing of HPMC side reactions of propylene oxide and sodium hydroxide can form formaldehyde and acetaldehyde. Also, methyl chloride can react with hydroxide to methanol and dimethyl ether by-products. Most of these and other products are removed in the wash and drying step, but traces of formaldehyde and formic acid can still be present.
Additionally, three specific residual impurities are described that may, in theory, be found in hypromellose: propylene oxide and two chloropropanols, 3-chloro-l,2-propanediol and 1,3-dichloro-2-propanol. These three substances are controlled by the manufacturer at acceptable safety levels, i.e. below 5 ppm.
In case cellulose from wood pulp is used as source, hypromellose still may contain traces of lignin and hemicelluloses. Lignin is a phenolic substance consisting of an irregular array of variously bonded hydroxy- and methoxy-substituted phenylpropane units. Hemicelluloses are mixtures of polysaccharides synthesized in wood almost entirely from glucose, mannose, galactose, xylose, arabinose, 4-O methylglucuronic acid, and galacturonic acid residues. Generally, hemicelluloses are of much lower molecular weight (MW) than cellulose and some are branched.
Low viscosity grades of HPMC are obtained by hydrolysis of hypromellose with acid to lower the average degree of polymerization and obtain the product with desired low viscosity. Douša et al. showed that typical acid-catalyzed cellulose related degradation products like furfural, 5-hydroxymethylfurfural (HMF) and 5-methoxymethylfurfural (5-MMF) can be found in these grades at levels up to 10 ppm.
Molecules with very small chain length resulting from the breakdown of cellulose are known as cellodextrins; in contrast to long-chain cellulose, cellodextrins are typically soluble in water and organic solvents and are likely to be removed during wash steps.
Hypromellose is known to be a stable substance; like many other polysaccharides, hypromellose will start to degrade rather than exhibit melting behavior. Specifically, hypromellose will brown at 190 – 200°C, char at 225 – 230°C, and burn out between 260°C and 300°C. However, hypromellose has very good thermal stability at lower temperatures. An untreated hypromellose product can usually withstand 100°C for several hours without degradation or loss of effectiveness.
Like all modified celluloses, hypromellose has virtually no toxic effects as large molecular weight molecules are not significantly absorbed from the gastrointestinal system. When administered to human subjects, HPMC showed only mild laxative or constipating effects in several cases, and almost the complete dose was recovered from feces. The safe level of daily intake of hypromellose is limited by the potential presence of propylene oxide, 3-chloro-l,2-propanediol and 1,3-dichloro-2-propanol to about 11 grams a day [DOW] [et al., 1952].
Hypromellose in the pharmaceutical industry
As described in the previous paragraphs hypromellose is harmless, tasteless, odorless, stable as powder as well in viscous aqueous solution, and relatively cheap as cellulose is available is almost unlimited quantities. Because of these properties, HPMC has become an important excipient in food and pharmaceutical applications. Low molecular weight hypromellose is typically used as binder and film-formers in coatings, while high molecular grades are used to control the release of the active ingredients in matrix tablets.
For the pharmaceutical industry several brands of pure hypromellose are available, all manufactured in accordance with Good Manufacturing Practice (GMP), such as Benecel (Ashland), Metolose (Shin-Etsu) and Methocel (Dow/Dupont). The information that is provided with commercially available HPMC on the certificate of analysis (COA) is defined by monographs in various pharmacopoeias.
In most pharmacopeial hypromellose monographs, tests and specifications can be found for identification, appearance of solution, pH, apparent viscosity, chloride, heavy metals, loss on drying and sulphated ash. Only recently a test for the Degree of Substitution was added to distinguish several substitution types of hypromellose. The specifications for the average MeO and HPO content of three types used in hydrophilic matrix tablets are listed in the table below.
These types of hypromellose are further classified according to viscosity. The nomenclature used to refer to these types and grades of HPMC varies per supplier.
The pharmacopoeial qualification range for the three substitution types as given in the table above, are rather wide with even some overlap and are, together with apparent viscosity, the only potential FRC’s on a COA. Although the viscosity is indirectly related to the average molecular weight of hypromellose in solution, it does not give information about the distribution of the molecular weight; theoretically can a batch with a normal distributed molecular weight have a similar viscosity value as mixture of a higher and lower viscosity hypromellose, read a mixture of hypromellose with a high and low molecular weight distribution. Unfortunately, besides the degree of substitution, no information is provided about the substituent distribution on the levels as described above; on monomer level, along the cellulose backbone and between chains. As mentioned, these properties can have a large impact on the hydrophilic/hydrophobic character of HPMC and its functionality in pharmaceutical applications.
Hypromellose Characterization Services
As an independent contract service platform, we focus on the physicochemical characterization of pharmaceutical excipients and food ingredients like hypromellose; as a pure substance, as a raw material or when processed into end products.
More than 25 years in the development of pharmaceutical formulations have taught us that the limited information available on an excipient Certificate of Analysis (CoA) often falls short of explaining observed product or excipient characteristics and that more in-depth knowledge of the actual chemical excipient composition is essential to meet and understand specific formulation challenges.
Over the past 15 years, our analytical scientists have spent tens of thousands of hours establishing unique, specific analytical and physicochemical methods with ingenious sample preparation techniques to characterize hypromellose and other pharmaceutical excipients.
In these years we have gained a lot of knowledge about many excipients, their properties and exact composition, the difference between batches, qualities, grades, and manufacturers, how to quantify them in medicines and how they can best be used in a formulation.
We offer fast and flexible hands-on hypromellose characterization services to reveal and compare hidden hypromellose properties like:
-
- Hypromellose degree of substitution and detailed hypromellose substitution pattern, distribution along the cellulose backbone
- Hypromellose monomer ratio, distribution of the substituents and position per glucose unit
-
- Molar substitution of methyl groups and molar substitution of hydroxypropyl groups
- Heterogeneity and structural differences of HPMC samples
- Hypromellose dissolution properties and release mechanisms in HPMC formulations
- The presence of potential reactive hypromellose impurities or functional groups
- Reducing power of hypromellose
- Hypromellose degradation products and related substances
- Hypromellose molecular weight distributions of non hydrolysed and spefically hydrolysed HPMC
- And many other hypromellose characteristics
In addition, we can help users of HPMC to pick the most appropriate hypromellose manufacturer, select the most suitable hypromellose grade for their finished dosage form, or define customized hypromellose specifications to control product performance, quality and safety.
Related Articles
-
Ofichem unifies brands under single CDMO and pharmaceutical supplier
Find Out More -
Polysaccharides in Pharmaceutical Development
Find Out More -
Polymers in Pharmaceutical Development
Find Out More -
MicroCrystalline Cellulose (MCC)
Find Out More
Ready to take your innovation to market?
Work shoulder-to-shoulder with a family-owned CDMO and pharmaceutical supplier that answers quickly, solves early, and keeps your progress steady. Decisions feel clearer with us beside you.
